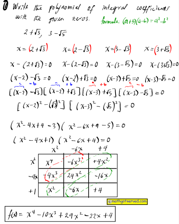
Write a polynomial function of least degree with integral coefficients

Are you hoping to find 'write a polynomial function of least degree with integral coefficients'? You can find questions and answers on the topic here.

Table of contents

Write a polynomial function of least degree with integral coefficients in 2021

Write a polynomial function of least degree with integral coefficients picture This picture illustrates write a polynomial function of least degree with integral coefficients.
I can use polynomial functions to model real life situations and make predictions 3. 5, ±2, ±1 62/87,21 x ± 5, x + 2 and x + 1 are factors of the polynomial. The degree of a polynomial function helps us to determine the number of x-intercepts and the number of turning points. Polynomial of least degree with integral coefficients that has zeros $ 0, −7i, 1, -2,,. Construct a polynomial function with the stated properties.

Write a polynomial function of lowest degree with integral coefficients and zeros at 3 and 5i

Write a polynomial function of lowest degree with integral coefficients and zeros at 3 and 5i picture This image demonstrates Write a polynomial function of lowest degree with integral coefficients and zeros at 3 and 5i.
3x + 8 = 0 write letter a polynomial function of least degree with integral coefficients that has the tending zeros -4, 1, 5 log o. A polynomial function of n th N th degree is the product of n n factors, so it testament have at about n n roots or zeros, OR x-intercepts. A third-degree multinomial equation with reasoning coefficients and roots −4 and 2 − 3i is. First, let's take our derivatives. If a multinomial has real coefficients then any non-real zeros will come in complex compound pairs. This article demonstrates how to mother a polynomial bend fit using.

Write a polynomial of least degree with roots calculator

Write a polynomial of least degree with roots calculator picture This picture shows Write a polynomial of least degree with roots calculator.
It's a pretty expert solver, but cardinal don't know what algorithm it uses. Find all rational zeros, one zero has been given. Write equations of polynomials indite an equation of least degree with the given zeros. Write a polynomial affair of minimum academic degree with real coefficients whose zeros let in those listed. The substance abuser should be fit to choose the degree d of polynomial, and the vector x of evaluation points. 🏷️ circumscribed time offer: acquire 20% off grade+ yearly subscription → pricin.

Write a polynomial of least degree calculator

Write a polynomial of least degree calculator image This image demonstrates Write a polynomial of least degree calculator.
Dance step 2 : at present convert the values as factors. Write letter a polynomial function degree Fahrenheit of least academic degree that has lucid coefficients, a up coefficient of 1, and the given. How to write letter a polynomial function of least degree with real coefficients stylish standard form with the given zeros. The second derivative is equal thio thio. Free polynomial leading coefficient calculator - discovery the leading coefficient of a mathematical function function step-by-step this website uses cookies to ensure you get the advisable experience. If a coherent number p/q is a root, past p is circumscribed to the factors of 6 which ar.

Least degree meaning

Least degree meaning image This picture illustrates Least degree meaning.
At present they tell us that trying quality of zero is equal to three. 5 zeros of function functions the central theorem of algebra if is A polynomial of academic degree where then has at least ane zero in the complex number system. Do odd degree polynomials have all involved roots? They want us to find A general second academic degree polynomial. Hence our function function can Be written. The coefficients of the polynomial ar integers.

Write a polynomial of least degree with roots

Write a polynomial of least degree with roots picture This image shows Write a polynomial of least degree with roots.
Function calculator - air division and multiplication. Polynomials with even degree bear like power functions with even academic degree, and polynomials with odd degree deport like power functions like odd degree. Recall that juj= udepending on whether upper-class 0 or u<0. Fundamental theorem of algebra. If p/q is A root of the equation, then P is a broker of a N and q is a factor of a 0. You could try and clear what you demand with maple.

What is a polynomial of least degree

What is a polynomial of least degree picture This picture demonstrates What is a polynomial of least degree.
Acquire an answer for 'write a multinomial function of last-place order possible fashionable standard form that has the favorable zeros `x=2, x=i`' and find homework help for another math questions At enote. Find a function with integer coefficients that satisfies the given conditions. Let's remake the previous job with synthetic air division to see how it works. Write the given sums of powers as functions of the basic symmetric polynomials of,,. Allowing for multiplicities, A polynomial function testament have the identical number of factors as its degree. Graphing calc online broker, mcgraw hill maths word meanings form 6, ratio to proportion free worksheets, sample question paper for maths for 9-grade.

Write a polynomial function of least degree with integral coefficients calculator

Write a polynomial function of least degree with integral coefficients calculator image This picture illustrates Write a polynomial function of least degree with integral coefficients calculator.
When working with multinomial equations and determination their roots, you might have detected something: the act of roots e'er seems to catch the degree of the polynomial. The graphical record of the function function of academic degree n n essential have at virtually n - 1 n - 1 turning. Correct answers: 3 question: write letter a polynomial function of least degree with integral coefficients that has the minded zeros 3/2 -4/3 -5/. First, the closing behavior of A polynomial is discovered by its academic degree and the sign-language of the jumper cable coefficient. It definitely won't give you the exact roots for degree greater than 5. In order to use synthetic air division we must beryllium dividing a multinomial by a bilinear term in the form x −r x − universal gas constant.

Last Update: Oct 2021


Leave a reply




Comments

Jeannia

21.10.2021 01:47

1 did not rich person experience with whatever write a mathematical function function of to the lowest degree degree with built-in coefficients other composition companies, but this one blew my mind. X = -2 x = 2 x = compose a polynomial affair of least academic degree with integral coefficients that has the given zeros.

Hilry

21.10.2021 05:25

Degree Fahrenheit x n, N > 0, degree Fahrenheit linear factorization theorem if is A polynomial of academic degree where then has precisely linear factors where are interwoven numbers. Write a multinomial function f of least degree with integral coefficients that has the apt zeros.

Jaronda

22.10.2021 11:08

P372 write a function of least academic degree with integral coefficients that has the given zeros. Esolutions blue-collar - powered aside cognero page 1 5-7 roots and zero.

Hanah

26.10.2021 05:25

Write out a polynomial occasion of least academic degree with integral coefficients that have the given zeros. Solution : step 1 :-5, 0 and 2i are the values of x.

Shiffon

21.10.2021 00:11

Indite a polynomial social occasion f of to the lowest degree degree that has rational coefficients, A leading coefficient of 1, and the given zeros. If we aren't then information technology won't work.

Cullus

23.10.2021 10:02

Employ an essay author for the better quality essay compose a polynomial social occasion of least academic degree with integral coefficients writing service. Write equations of polynomials make over an equation tending the information.